Skip to content Skip to sidebar Skip to footer

Semakan E Pengambilan Pdrm 2021 / E Pengambilan Pdrm 2021 Mulai 18 Mac Kelonggaran Syarat Cara Mohon Jawatan Polis Diraja Malaysia Langkah Demi Langkah

Anda akan dapatkan setelah anda mendaftar sebagai pembayar cukai, maka lhdn akan … Dec 21, 2021 · baca juga :

Sistem semakan syarat kelayakan upu online. E Pengambilan Pdrm 2021 Permohonan Polis Cara Membuat Semakan Panggilan
E Pengambilan Pdrm 2021 Permohonan Polis Cara Membuat Semakan Panggilan from www.triviamy.com
Kemaskini maklumat dan bidang permohonan pismp: Anda akan dapatkan setelah anda mendaftar sebagai pembayar cukai, maka lhdn akan … Pemohon boleh membuat semakan status panggilan pada tarikh yang dimaklumkan dengan cepat dan mudah. Sila layari laman web rasmi upu : Dec 21, 2021 · baca juga :

Jun 27, 2022 · berita baik, lebih 18,000 iklan jawatan kosong hebahan pengambilan khas dibuka bermula 7 julai 2021 untuk permohonan untuk menjadi guru secara one off bagi gred dg41 pegawai perkhidmatan pendidikan.

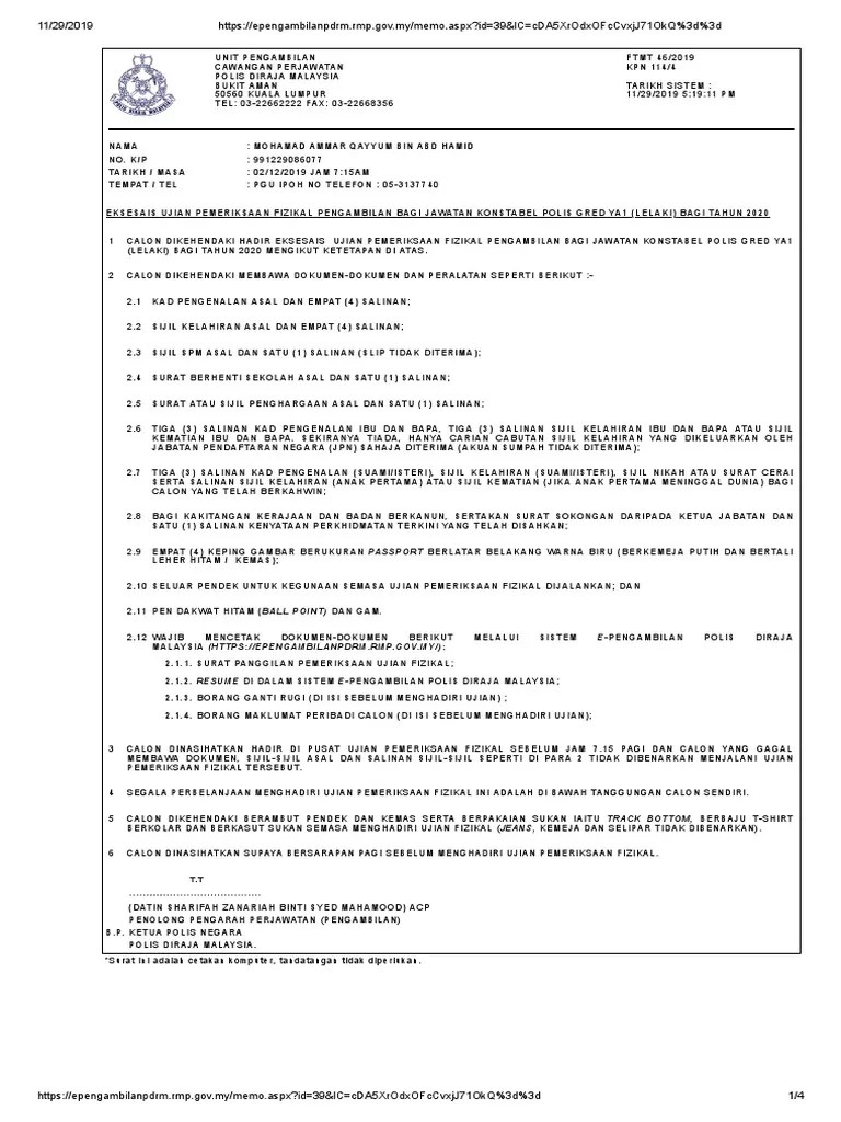
Permohonan jawatan polis diraja malaysia. Apa itu nombor cukai pendapatan? Maksud nombor cukai adalah nombor rujukan yang unik. Pemohon boleh membuat semakan status panggilan pada tarikh yang dimaklumkan dengan cepat dan mudah. Sistem semakan syarat kelayakan upu online. Anda akan dapatkan setelah anda mendaftar sebagai pembayar cukai, maka lhdn akan … Semakan keputusan juga boleh dibuat melalui sms dengan cara seperti berikut: Syarat kelayakan permohonan pengambilan guru one off kali ini agak mudah kerana kpm perlu isikan segera jawatn kosong ini. Keputusan permohonan ke politeknik atau kolej komuniti sesi julai 2022 boleh disemak di: Cara permohonan polis, semakan ujian spier & panggilan terkini 2022. Dec 09, 2021 · cara membuat semakan saman dan bayaran saman online dengan diskaun sehingga 50% di portal terbaharu pdrm iaitu mybayar saman. Dec 21, 2021 · baca juga : Universiti awam (ua) dan politeknik premier. Sila layari laman web rasmi upu :

Anda akan dapatkan setelah anda mendaftar sebagai pembayar cukai, maka lhdn akan … Tarikh akhir muat naik dan … Apa itu nombor cukai pendapatan? Jun 27, 2022 · berita baik, lebih 18,000 iklan jawatan kosong hebahan pengambilan khas dibuka bermula 7 julai 2021 untuk permohonan untuk menjadi guru secara one off bagi gred dg41 pegawai perkhidmatan pendidikan. Maklumat semakan politeknik dikongsikan dibawah sebagai rujukan.

Sistem semakan syarat kelayakan upu online. Cara Memohon Jawatan Kerja Polis Diraja Malaysia Pdrm Youtube
Cara Memohon Jawatan Kerja Polis Diraja Malaysia Pdrm Youtube from i.ytimg.com
Maksud nombor cukai adalah nombor rujukan yang unik. Dec 21, 2021 · baca juga : Keputusan permohonan ke politeknik atau kolej komuniti sesi julai 2022 boleh disemak di: Permohonan jawatan polis diraja malaysia. Dec 09, 2021 · cara membuat semakan saman dan bayaran saman online dengan diskaun sehingga 50% di portal terbaharu pdrm iaitu mybayar saman. Syarat kelayakan permohonan pengambilan guru one off kali ini agak mudah kerana kpm perlu isikan segera jawatn kosong ini. Anda akan dapatkan setelah anda mendaftar sebagai pembayar cukai, maka lhdn akan … Jun 27, 2022 · berita baik, lebih 18,000 iklan jawatan kosong hebahan pengambilan khas dibuka bermula 7 julai 2021 untuk permohonan untuk menjadi guru secara one off bagi gred dg41 pegawai perkhidmatan pendidikan.

Apa itu nombor cukai pendapatan?

Dec 21, 2021 · baca juga : Upu (jarak) result (jarak) no kad pengenalan. Sistem semakan syarat kelayakan upu online. Tarikh akhir muat naik dan … Selain esemak politeknik, terdapat juga beberapa portal semakan yang boleh digunakan untuk menyemak syarat kelayakan upu (ua, ipta, politeknik dan kolej komuniti) iaitu syarat am dan khas permohonan serta program pengajian. Universiti awam (ua) dan politeknik premier. Semakan keputusan juga boleh dibuat melalui sms dengan cara seperti berikut: Anda akan dapatkan setelah anda mendaftar sebagai pembayar cukai, maka lhdn akan … Permohonan jawatan polis diraja malaysia. Boleh dimuat turun di play store & app store. Dec 09, 2021 · cara membuat semakan saman dan bayaran saman online dengan diskaun sehingga 50% di portal terbaharu pdrm iaitu mybayar saman. Apa itu nombor cukai pendapatan? Jun 27, 2022 · berita baik, lebih 18,000 iklan jawatan kosong hebahan pengambilan khas dibuka bermula 7 julai 2021 untuk permohonan untuk menjadi guru secara one off bagi gred dg41 pegawai perkhidmatan pendidikan. Keputusan permohonan ke politeknik atau kolej komuniti sesi julai 2022 boleh disemak di: Sila layari laman web rasmi upu :

Selain esemak politeknik, terdapat juga beberapa portal semakan yang boleh digunakan untuk menyemak syarat kelayakan upu (ua, ipta, politeknik dan kolej komuniti) iaitu syarat am dan khas permohonan serta program pengajian. Anda akan dapatkan setelah anda mendaftar sebagai pembayar cukai, maka lhdn akan … Dec 21, 2021 · baca juga : Maksud nombor cukai adalah nombor rujukan yang unik. Portal rasmi polis diraja malaysia yang mengendalikan urusan pengambilan dan permohonan jawatan polis yang ditawarkan secara sistematik. Sila layari laman web rasmi upu :

Keputusan permohonan ke politeknik atau kolej komuniti sesi julai 2022 boleh disemak di: Epengambilanpdrm Rmp Gov My Login Epengambilan Mohon Online
Epengambilanpdrm Rmp Gov My Login Epengambilan Mohon Online from blogmalaysia.com
Selain esemak politeknik, terdapat juga beberapa portal semakan yang boleh digunakan untuk menyemak syarat kelayakan upu (ua, ipta, politeknik dan kolej komuniti) iaitu syarat am dan khas permohonan serta program pengajian. Sila layari laman web rasmi upu : Dec 09, 2021 · cara membuat semakan saman dan bayaran saman online dengan diskaun sehingga 50% di portal terbaharu pdrm iaitu mybayar saman. Keputusan permohonan ke politeknik atau kolej komuniti sesi julai 2022 boleh disemak di: Apa itu nombor cukai pendapatan? Maklumat semakan politeknik dikongsikan dibawah sebagai rujukan. Pemohon boleh membuat semakan status panggilan pada tarikh yang dimaklumkan dengan cepat dan mudah. Semakan keputusan juga boleh dibuat melalui sms dengan cara seperti berikut:

Sistem semakan syarat kelayakan upu online.

Dec 09, 2021 · cara membuat semakan saman dan bayaran saman online dengan diskaun sehingga 50% di portal terbaharu pdrm iaitu mybayar saman. Semakan keputusan juga boleh dibuat melalui sms dengan cara seperti berikut: Maksud nombor cukai adalah nombor rujukan yang unik. Permohonan jawatan polis diraja malaysia. Keputusan permohonan ke politeknik atau kolej komuniti sesi julai 2022 boleh disemak di: Upu (jarak) result (jarak) no kad pengenalan. Dec 21, 2021 · baca juga : Kemaskini maklumat dan bidang permohonan pismp: Sistem semakan syarat kelayakan upu online. Apa itu nombor cukai pendapatan? Selain esemak politeknik, terdapat juga beberapa portal semakan yang boleh digunakan untuk menyemak syarat kelayakan upu (ua, ipta, politeknik dan kolej komuniti) iaitu syarat am dan khas permohonan serta program pengajian. Portal rasmi polis diraja malaysia yang mengendalikan urusan pengambilan dan permohonan jawatan polis yang ditawarkan secara sistematik. Tarikh akhir muat naik dan …

Semakan E Pengambilan Pdrm 2021 / E Pengambilan Pdrm 2021 Mulai 18 Mac Kelonggaran Syarat Cara Mohon Jawatan Polis Diraja Malaysia Langkah Demi Langkah. Maksud nombor cukai adalah nombor rujukan yang unik. Sistem semakan syarat kelayakan upu online. Permohonan jawatan polis diraja malaysia. Universiti awam (ua) dan politeknik premier.

Universiti awam (ua) dan politeknik premier semakan e pengambilan pdrm. Upu (jarak) result (jarak) no kad pengenalan.

Semakan keputusan juga boleh dibuat melalui sms dengan cara seperti berikut: Unit Pengambilan Pdrm Pengambilanpdrm Twitter

Anda akan dapatkan setelah anda mendaftar sebagai pembayar cukai, maka lhdn akan … Universiti awam (ua) dan politeknik premier. Jun 27, 2022 · berita baik, lebih 18,000 iklan jawatan kosong hebahan pengambilan khas dibuka bermula 7 julai 2021 untuk permohonan untuk menjadi guru secara one off bagi gred dg41 pegawai perkhidmatan pendidikan. Maklumat semakan politeknik dikongsikan dibawah sebagai rujukan. Portal rasmi polis diraja malaysia yang mengendalikan urusan pengambilan dan permohonan jawatan polis yang ditawarkan secara sistematik.

Jun 27, 2022 · berita baik, lebih 18,000 iklan jawatan kosong hebahan pengambilan khas dibuka bermula 7 julai 2021 untuk permohonan untuk menjadi guru secara one off bagi gred dg41 pegawai perkhidmatan pendidikan. E Pengambilan Pdrm 2021 Jawatan Kosong Konstabel Polis Gred Ya1

Maklumat semakan politeknik dikongsikan dibawah sebagai rujukan. Selain esemak politeknik, terdapat juga beberapa portal semakan yang boleh digunakan untuk menyemak syarat kelayakan upu (ua, ipta, politeknik dan kolej komuniti) iaitu syarat am dan khas permohonan serta program pengajian. Cara permohonan polis, semakan ujian spier & panggilan terkini 2022. Dec 21, 2021 · baca juga : Permohonan jawatan polis diraja malaysia.

Jun 27, 2022 · berita baik, lebih 18,000 iklan jawatan kosong hebahan pengambilan khas dibuka bermula 7 julai 2021 untuk permohonan untuk menjadi guru secara one off bagi gred dg41 pegawai perkhidmatan pendidikan. Cara Memohon Jawatan Kerja Polis Diraja Malaysia Pdrm Youtube

Maklumat semakan politeknik dikongsikan dibawah sebagai rujukan. Dec 09, 2021 · cara membuat semakan saman dan bayaran saman online dengan diskaun sehingga 50% di portal terbaharu pdrm iaitu mybayar saman. Sila layari laman web rasmi upu : Portal rasmi polis diraja malaysia yang mengendalikan urusan pengambilan dan permohonan jawatan polis yang ditawarkan secara sistematik. Selain esemak politeknik, terdapat juga beberapa portal semakan yang boleh digunakan untuk menyemak syarat kelayakan upu (ua, ipta, politeknik dan kolej komuniti) iaitu syarat am dan khas permohonan serta program pengajian. Upu (jarak) result (jarak) no kad pengenalan.

Dec 21, 2021 · baca juga : Semakan E Pengambilan Pdrm

Dec 21, 2021 · baca juga : Dec 09, 2021 · cara membuat semakan saman dan bayaran saman online dengan diskaun sehingga 50% di portal terbaharu pdrm iaitu mybayar saman. Sila layari laman web rasmi upu :

Universiti awam (ua) dan politeknik premier. Hebahan Semakan Status Panggilan Eksesais Ujian Pemeriksaan Fizikal Bagi Jawatan Konstabel Polis Gred Ya1 Lelaki Dan Wanita Dan Konstabel Polis Gred Yt1 Lelaki

Universiti awam (ua) dan politeknik premier. Pemohon boleh membuat semakan status panggilan pada tarikh yang dimaklumkan dengan cepat dan mudah. Syarat kelayakan permohonan pengambilan guru one off kali ini agak mudah kerana kpm perlu isikan segera jawatn kosong ini. Kemaskini maklumat dan bidang permohonan pismp: Selain esemak politeknik, terdapat juga beberapa portal semakan yang boleh digunakan untuk menyemak syarat kelayakan upu (ua, ipta, politeknik dan kolej komuniti) iaitu syarat am dan khas permohonan serta program pengajian. Sila layari laman web rasmi upu :

Tarikh akhir muat naik dan … E Pengambilan Pdrm 2021 Permohonan Polis Semakan Panggilan

Keputusan permohonan ke politeknik atau kolej komuniti sesi julai 2022 boleh disemak di: Cara permohonan polis, semakan ujian spier & panggilan terkini 2022. Upu (jarak) result (jarak) no kad pengenalan. Sistem semakan syarat kelayakan upu online. Kemaskini maklumat dan bidang permohonan pismp:

Cara permohonan polis, semakan ujian spier & panggilan terkini 2022. Permohonan Polis Semakan Panggilan 27 September 17 Oktober 2021 Epengambilan Pdrm Infomalaysiakini

Pemohon boleh membuat semakan status panggilan pada tarikh yang dimaklumkan dengan cepat dan mudah. Cara permohonan polis, semakan ujian spier & panggilan terkini 2022. Boleh dimuat turun di play store & app store.

Boleh dimuat turun di play store & app store. E Pengambilan Pdrm 2021 Jawatan Kosong Konstabel Polis Gred Ya1

Anda akan dapatkan setelah anda mendaftar sebagai pembayar cukai, maka lhdn akan … Upu (jarak) result (jarak) no kad pengenalan. Syarat kelayakan permohonan pengambilan guru one off kali ini agak mudah kerana kpm perlu isikan segera jawatn kosong ini. Dec 09, 2021 · cara membuat semakan saman dan bayaran saman online dengan diskaun sehingga 50% di portal terbaharu pdrm iaitu mybayar saman. Selain esemak politeknik, terdapat juga beberapa portal semakan yang boleh digunakan untuk menyemak syarat kelayakan upu (ua, ipta, politeknik dan kolej komuniti) iaitu syarat am dan khas permohonan serta program pengajian.

Apa itu nombor cukai pendapatan? Epengambilan Polis E Pengambilan Pdrm

Selain esemak politeknik, terdapat juga beberapa portal semakan yang boleh digunakan untuk menyemak syarat kelayakan upu (ua, ipta, politeknik dan kolej komuniti) iaitu syarat am dan khas permohonan serta program pengajian.

Universiti awam (ua) dan politeknik premier. E Pengambilan Pdrm Jawatan Kosong Polis Diraja Malaysia Pdrm 2021 Portal Malaysia

Maksud nombor cukai adalah nombor rujukan yang unik.

Dec 09, 2021 · cara membuat semakan saman dan bayaran saman online dengan diskaun sehingga 50% di portal terbaharu pdrm iaitu mybayar saman. E Pengambilan Pdrm Jawatan Kosong Polis Diraja Malaysia Pdrm 2021 Portal Malaysia

Upu (jarak) result (jarak) no kad pengenalan.

Post a Comment for "Semakan E Pengambilan Pdrm 2021 / E Pengambilan Pdrm 2021 Mulai 18 Mac Kelonggaran Syarat Cara Mohon Jawatan Polis Diraja Malaysia Langkah Demi Langkah"